擴散硅壓力傳感器的不銹鋼隔離膜片充油封裝研究
本文介紹了目前市場較為常見的幾種壓力傳感器的封裝形式,對其中不銹鋼隔離波紋膜片封裝結構和模型進行行了詳細的介紹和分析,總結了不銹鋼隔充油離膜片封裝結構中,波紋膜片、硅膠、敏感芯片選型要求,并對封裝焊接工藝做了詳細的研究。
一、封裝的基本要求及典型封裝形式
一般來說,壓力傳感器的封裝應依據傳感器測量原理、芯片的結構、以及被測量對象和應用環境的不同,確定其封裝的要求。在武器裝備等軍事應用領域中,對傳感器封裝的要求很高,在民品應用領域,對封裝的要求可適當的放寬。與加速度、諧振器和陀螺儀等其他傳感器相比,壓力傳感器用于壓力測量時,其壓力芯片通常必須直接暴露在被測量的流體中,這就要求采用既能保護芯片,又能傳遞壓力的方法對壓力傳感器進行封裝,因此,其封裝要求和難度相當較高。總的來說,壓力傳感器的封裝應該滿足以下幾方面的要求:
1)機械上應該是堅固的,可以抗振動,抗沖擊;
2)應當避免熱應力對芯片的影響;
3)電氣上要求芯片與環境或大地是絕緣的;
4)電磁上要求是屏敝的;
5)用氣密的方式隔離腐蝕氣體或流體,或通過非氣密隔離方式隔離水氣;
6)低價格,封裝形式與標準制造工藝兼容。圖1是壓力傳感器市場上常用的幾種封裝形式。圖(a)是TO封裝外型,(b)是氣密充油的不銹鋼封裝,(c)是小外形塑料封裝(SOP),這三種封裝形式為壓力敏感頭,(d)是不銹鋼封裝的壓力傳感器產品壓力變送器。
(a) (b)
(c) (d)
圖1、壓力傳感器的幾種典型封裝形式
二、TO 封裝結構
壓力傳感器TO封裝是一種低成本的封裝形式,屬非氣密封裝,主要用于監測非腐蝕氣體和與干燥空氣介質兼容的氣體。其應用領域包括汽車儀表、醫藥衛生、氣體控制系統、空調、制冷設備、環境監測和儀器儀表等。TO封裝屬于傳感器的一次封裝,在使用時需根據其應用環境對傳感器進行二次封裝,以滿足性能和可靠性要求。如圖2所示為TO封裝的壓力傳感器結構圖。圖中所示的壓力傳感器是絕壓芯片。TO封裝的工藝包括芯片與玻璃的靜電鍵合、貼片、引線鍵合、封帽及涂膠保護。
圖2 TO封裝壓力傳感器結構
三、不銹鋼隔離波紋膜片封裝
如圖3所示為不銹鋼隔膜片封裝的硅壓阻壓力傳感器結構圖,這種封裝結構為氣密封裝。該壓力傳感器廣泛地應用于航天、航空、工業自動化控制、汽車等領域。它的固態應變膜片特性、不銹鋼隔膜結構和極好的動態性能可滿足信號對壓力傳感器的高穩定、高可靠、低功耗、動態測試等的要求。它不但可以進行普通的氣體及液體的壓力測量,而且可以用于腐蝕性的氣體及液體如酸、堿及各種液體推進劑等的壓力測量。它的結構特點非常有利于發展成系列化的、通用型的傳感器。
圖3、鋼隔離膜片封裝壓力傳感器結構
這種隔離膜壓力傳感器頭由金屬基座、管殼、硅油、傳感器壓力芯片及不銹鋼膜片組成。其主要的制造工藝為:硅芯片選用靜電鍵合工藝封接而成,封接好的芯片用膠接工藝貼在管殼基座上,芯片上的焊盤與管座上的引腳是用Au絲引線連接起來的。不銹鋼隔膜與殼體采用熔焊工藝進行焊接,焊接工藝常用激光焊接、氬弧焊、微束等離子焊接或電子束焊接等。硅油灌充工藝一般采用真空灌充技術,可基本消除殘余氣體對隔離測壓系統的影響,提高傳感器的精度及穩定性。硅壓阻壓力傳感器本身有一個固有的特性,就是溫度系數較大,因此需要對其進行溫度誤差補償。常用的溫補方式是在應變電橋上附加電阻網絡,通過測試及計算其高低溫特性,確定網絡阻值,以達到溫度補償的目的。這種傳感器的測量原理是外界壓力通過硅油傳遞到敏感芯片上,再由敏感芯片測出壓力。然而,在考慮硅油的熱膨脹的情況時,填充在腔體中的硅油量應盡可能的少,否則,硅油在不同溫度下的體積膨脹將會對測量壓力帶來較大的誤差,而且很容易引起傳感器的溫度漂移。
四、影響壓力傳感器性能關鍵因素分析
1、不銹鋼隔離膜片
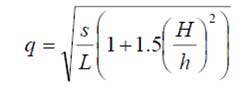
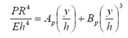
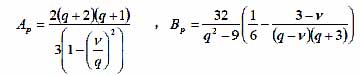
不銹鋼隔離膜片的設計與硅膜片的設計一樣,要求在測量壓力范圍內,其變形處在線彈性范圍內。為了提高膜片的變形量,又能夠增加其線性范圍,人們通常將不銹鋼膜片設計成波紋狀。波狀的薄膜在同樣的載荷下既能產生較大的變形,又能增加線性范圍。這種薄膜的撓度y與壓力P的關系表達式為[2]:
其中
式中q是薄膜波形特征因子,對正弦波型其q為:
式中,h=膜片的厚度,R=膜片的半徑,s=波形弧長;H=波形深度;L=波形空間周期。對平的薄膜q=1,波形的精確程度對q幾乎沒有影響,因此矩形波形一般可用弦波近似。圖4給出了波紋片樣品。
圖4 波紋片樣品
2、隔離波紋膜片的彈性模型
為了分析壓力通過隔離薄膜的傳遞規律,我們對這種封裝形式的傳感器作如下假設,即假設硅油是不可壓縮的,不銹鋼膜片可看成周邊固支的圓形薄膜,則壓力通過硅油傳遞到硅薄膜將不引起任何附加損耗。簡化模型如圖5所示。因此,當外界作用在傳感器上的壓力為P時,壓力通過不銹鋼膜片再由硅油傳遞到硅壓力芯片上,若不銹鋼膜片的彈性反作用力為Pg硅的彈性反作用力為PSi,則有:
圖5 隔離薄膜壓力傳感器彈性簡化模型
此模型總剛度系數為:1/k=1/K1+1/k2+1/k3,其中K為總剛度系數,K1、K2、K3分別為銹鋼膜片剛度系數、薄膜的剛度系數、硅膠的剛度系數。顯然如要壓力更好的傳遞到芯片上,選用的不銹鋼膜片剛度系數、硅薄膜的剛度系數其越小越好,即不銹鋼隔離薄膜的半徑越大、薄膜厚度越薄,壓力越容易通過硅油傳遞到硅芯片上,壓力的傳遞損失也越小(同樣壓力產生的擾度越大)。
3、硅油的溫度特性對壓力傳感器性能的影響
任何液體的體積隨溫度變化將發生變化,硅油也不例外。硅油的熱膨脹系數為(0.7~0.9)×10-2/℃,當傳感器在-30~80℃溫區工作時,全溫區內封裝殼體內硅油的體積變化量為8%~9%。當假設硅油為理想的不可壓縮物質時,這一變化量是有規律的并可由隔離膜片在彈性范圍內,在定標時進行修正。但如果硅油和工件凈化不充分,硅油和傳感器內混有空氣、水分等可壓縮易揮發的物質,那么硅油在全程溫度工作范圍內將無規律變化,而這一變化量在全密封的傳感器室內形成的力就會作用在芯片上,使傳感器的輸出特性隨環境溫度而發生無規律的變化,這樣傳感器的溫度特性和長期穩定性非常差,因此,在封裝時要對硅油進行加熱真空凈化處理,并在真空環境下將硅油沖入壓力傳感器封裝腔體里,凈化加熱溫度為120℃,時間在半小時以上。此外,在焊接過程中,會引起硅油的分解或改變硅油的性能,這-問題在封裝工藝的過程中應盡量避免。
五、封焊工藝研究
由于軍事、工業用壓力傳感器的的使用溫度范圍一般在-40℃-125℃內,如果焊接時,高溫時間過長,可能會造成敏感芯片損壞和硅油在高溫下分解,所以要求焊接過程短,局部加熱,焊縫位置符合氣密檢測標準(注:焊接需要在硅油中進行)。針對以上特點我們采用的是儲能焊接工藝,焊接結構及焊接過程示意圖如圖6與圖7所示:
(6)焊接結構 (7)焊接過程示意圖
我們分別用電容儲能焊和中頻直流逆變式儲能焊對傳感器樣件進行了封焊。電容儲能焊電流較大,焊后表面溫度高于中頻直流逆變式,且其工件表面焊接效果有明顯壓痕;中頻直流逆變式儲能焊(圖8)焊接時間和能量可以調節,能夠二次放電,焊接后表面溫度,其相較于較低電容儲能焊的壓力較小,焊接后的工件表面壓痕不明顯。
圖8 焊接現場(中頻直流逆變式)
從我們封裝好的壓力傳感器的測試情況來看,兩種焊接過程對傳感器的敏感芯片基本沒有損傷,都能滿足傳感器的性能要求。通過傳感器的封焊過程研究和對封裝好的傳感器測試情況來看,可以得出以下結論:
1、儲能焊可以在硅油中焊接;
2、焊接過程電流、溫度并未對敏感芯片造成影響;
3、焊接的密封能夠達到氣密檢測要求,儲能焊接能夠滿足擴散硅傳感器不銹鋼隔離膜片封裝要求。 本文源自澤天傳感,版權所有,轉載請注明出處!

